首頁 | 收藏本站 | 免費注冊|申請VIP會員|固定排名|廣告服務
中國電氣自動化網首頁
PLC | 電  機 | 變 頻 器 | 人機界面 | 運動伺服 | 控制傳動 | 自動化軟件
DCS | 傳感器 | 通信網絡 | 現場總線 | 數據采集 | 電氣開關 | 數傳測控
電源 | 嵌入式 | 儀器儀表 | 低壓電器 | 機器視覺 | 工業安全 | 工控機
模具 | 電線電纜 | 電子元件 | 成套設備 | 液壓氣動 | 制 冷
機床 | 電力能源 | 機械設備 | 石油化工 | 礦業冶金 | 水工業
物流 | 軌道交通 | 汽車電子 | 工程機械 | 輸 配 電 | 電 梯
企業 供求 新聞 文庫
下載 視頻 招聘 期刊 會展 培訓 庫存 論壇 訪談 維修
熱詞:嵌入式 傳感器 電源 主板 工控機 PLC 人機界面 變頻器
產品首頁 VIP會員產品 所有產品   我要發布產品
您現在的位置:中國電氣自動化網首頁 >> 產品 >> 詳細信息
 
功率變壓器過壓過流保護用PTC熱敏電阻 廈門市三寶盈科電子有限公司
       

功率變壓器過壓過流保護用PTC熱敏電阻

產品型號: 齊全
產品價格: 價優
產品品牌: SP
   
在線咨詢
會員在線咨詢,免費獲取《電氣自動化簡訊》雙月刊
  聯 系 人: 黃煒尊
所在區域: 福建.廈門
辦公地址: 廈門市海滄區東孚街道鼎山中路18號
郵  編: 518000
電  話: 13423808781
移動電話: 13423808781
傳  真:
電子郵件: sales1@spptc.com
公司主頁: http://
 
詳細描述:
 

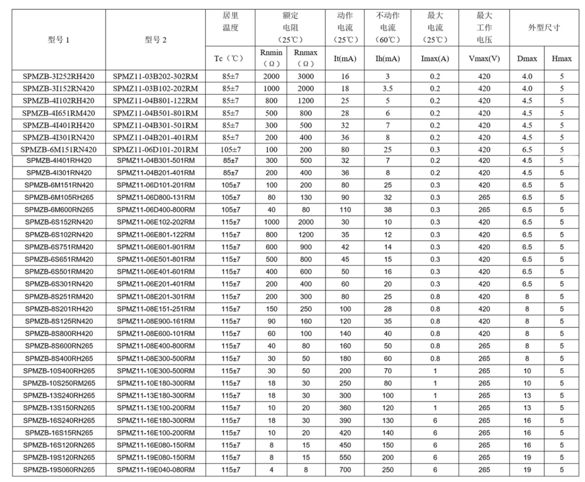
SPMZB / SPMZ11系列PTC熱敏電阻是一種自動保護、自動恢復使用、無觸點、無噪音、無火花的“萬次保險絲”,或稱“自恢復保險絲”,是繼“溫度保險絲”和“溫度開關”之后推出的第三代保護器件。


1 應用領域

智能電度表、萬用表、充電器、小型變壓器、數字萬用表、微電機、小型電子儀器等


2 產品優點

  型號齊全,各種體積大小、電流大小產品,適用范圍廣,滿足不同產品的需求;性能穩定,可靠性好,一致性好


3 應用原理及外形圖

應用原理如下圖所示:把PTCR串聯在變壓器初級電路中,當電路處于正常工作狀態時,通過PTCR的電流不超過額定電流即不超過PTCR的最大不動作電流,PTCR處于常態,阻值較小,不會影響被保護電路的正常工作。當電路出現故障,電流大大超過額定電流,PTCR驟然發熱,呈高阻態,使電路處于相對“斷開”狀態,達到保護目的。當故障排除后,PTCR自動恢復正常工作。


9.jpg

3744497.png
3744496.jpg
圖片1.png
6a31b3c741f4e5c3e0d80fe9f6423b8a.png

通過中國電氣自動化網在線聯系該用戶:
關于:
需求意向:
* 驗證碼: 點擊可刷新
 
用戶: 密碼:  
如果您還不是中國電氣自動化網(m.cdlandi.com)的注冊用戶,立刻免費注冊!

此信息未經核實,本網不承擔任何法律責任。為保障您的利益,建議優先選擇VIP誠信企業


廣告服務 | 關于我們 | 網站地圖 | 分類索引 | 服務條款 | VIP會員服務 |《電氣自動化企業大全》| 版權聲明

客服專線:0898-68552405     媒體合作QQ:910167442
中國電子商務服務聯盟成員單位 瓊ICP備17003754號
中國電氣自動化網 版權所有 © Copyright By Electric Automation of China